Ex3. The temperature u(r) in the circular ring shown below is determined
from the boundary value problem:
for u0 and u1 constants.
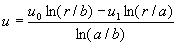
Show that
Solution:
If we multiply both sides by r, we have a Cauchy-Euler equation (see unit III lesson 6), so assuming a solution of form u=rm, u=mrm-1, u=m(m-1)rm-2, we get the characteristic equation r2m(m-1)rm-2+rmrm-1=0. Factoring out rm and simplifying, we get rm(m2-m+m)=0. The solution is m=0 as a double root, hence the solution is u=C1+C2ln(r). The boundary conditions yield the system
Using Cramers rule we get the solutions:
Now the solution to the BVP is:
.
This simplifies to
QED